香港宝典全年资料大全-免费完整资料
首页 > 直线电机 > JKB系列(无铁芯直线电机) > 无铁芯直线电机JKB4
JKB4
产品名称: 无铁芯直线电机JKB4
产品型号: JKB4
产品特色:

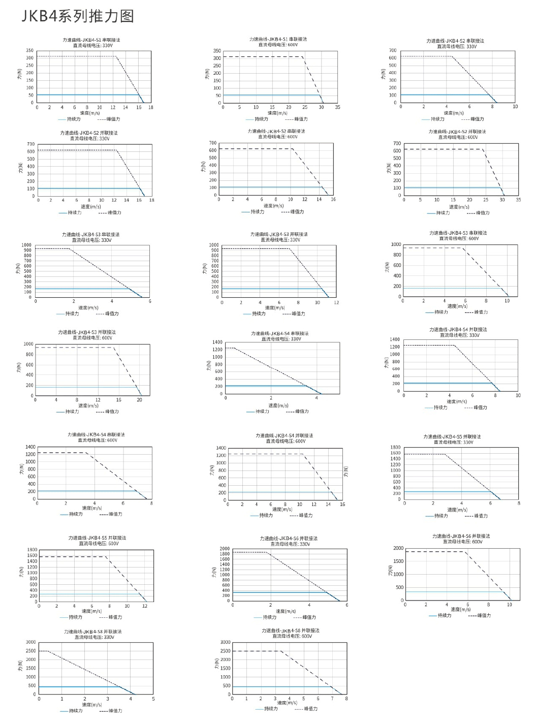
连续推力:55N~442N

峰值推力:312N~2496N

动子长度:61/121/181/241/301/361/481

定子长度:120/180/240/300/600


PDF下载2D图下载3D图下载
产品说明滑台模组

定子(磁轨):通常由两排平行的永磁体(磁钢)面对面排列,组成一个强大的U型磁场。磁场方向在N极和S极之间交替变化。

动子(线圈组):由一个(或多个)无铁芯的线圈组成,这些线圈被环氧树脂等轻质材料固定成一个整体。这个动子就“悬浮”在U型磁轨的间隙中。

工作过程

当电流通入动子的线圈时,会产生磁场。

这个磁场与磁轨的U型磁场相互作用,产生洛伦兹力,从而驱动动子做直线运动。

通过控制电流的方向和大小,可以精确控制运动的方向和推力。




型号编码直线滑台模组

1.png


基本式样xyz三轴模组

3.png


容许负载力矩表同步带模组

2.png


尺寸图同步带滑台

4.png


香港宝典全年资料大全

客服微信

香港宝典全年资料大全

业务咨询

13711946190

香港宝典全年资料大全

客服QQ

276053854

香港宝典全年资料大全

返回顶部

0.349884s