
| 产品名称: | 无铁芯直线电机JKB5 |
| 产品型号: | JKB5 |
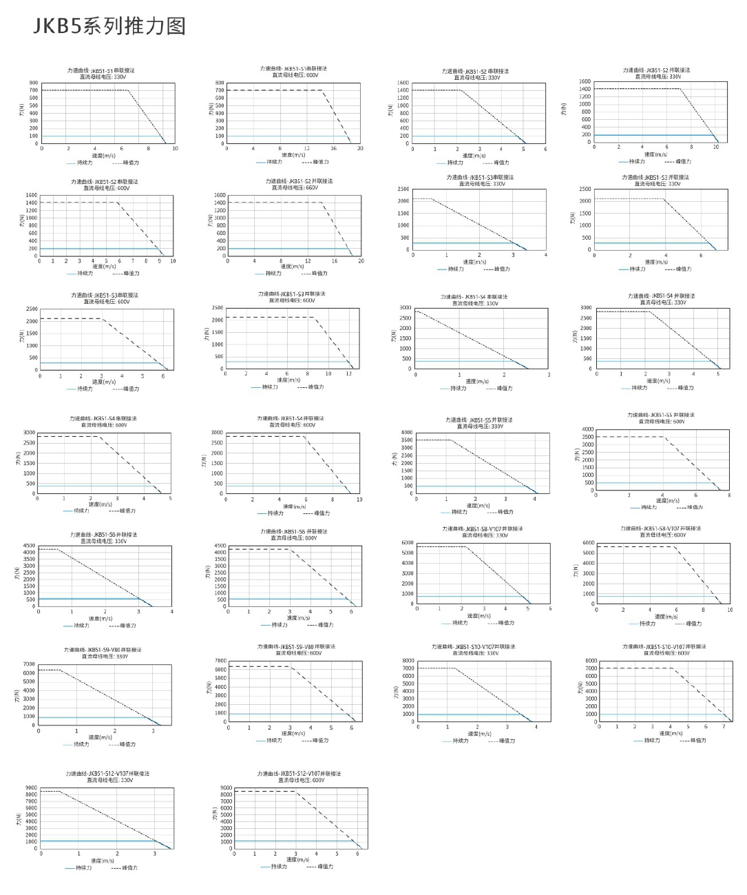
| 产品特色: | 连续推力:98N-1179N 峰值推力:707N-8489N 动子长度:85/169/253/337/421/505 定子长度:168/252/420 |

定子(磁轨):通常由两排平行的永磁体(磁钢)面对面排列,组成一个强大的U型磁场。磁场方向在N极和S极之间交替变化。
动子(线圈组):由一个(或多个)无铁芯的线圈组成,这些线圈被环氧树脂等轻质材料固定成一个整体。这个动子就“悬浮”在U型磁轨的间隙中。
工作过程:
当电流通入动子的线圈时,会产生磁场。
这个磁场与磁轨的U型磁场相互作用,产生洛伦兹力,从而驱动动子做直线运动。
通过控制电流的方向和大小,可以精确控制运动的方向和推力。












